Miasto Mińsk Mazowiecki

Zdjęcia w topie

Zmiana wizualizacji

Data

Dzisiaj jest 3 marca 2021

Imieniny:

Kunegundy, Maryny, Hieronima

Menu główne

Plan zagospodarowania przestrzennego

Ewidencja zabytków

Księga gości

Wpisz się do księgi gości. Zostaw po sobie ślad.

Newsletter

Newsletter
Zapisz się do newslettera i bądź na bieżąco z wydarzeniami

Podaj poniżej adres e-mail

Reklama

  • Europa dla Obywateli
  • MSA wyposażenie

Nawigacja:

  • Aktualności    /   

Treść strony

Dni z Wojskiem Polskim - Mińsk Mazowiecki - ważne informacje

Przypominamy, że na terenie Miasta w dniach 10-11 maja zostaną zorganizowane ogólnodostępne parkingi w pobliżu przystanków autobusowych, z których będą zabierani podróżni udający się na lotnisko w Janowie. 

O porządek i właściwą organizację ruchu na parkingach zadbają harcerze z mińskiego hufca ZHP pod czujnym okiem harcmistrza Andrzeja Soćko, którzy zorganizują również punkt informacyjny w okolicach stacji PKP Mińsk Mazowiecki. Do harcerzy można się zgłaszać w celu uzyskania informacji o dogodnych połączeniach autobusowych lub osobach zagubionych na terenie miasta w trakcie trwania pikniku dzwoniąc pod numer 600-875-641.


Komercyjne przewozy autobusowe wykonają firmy B.A.G.S., Mobilis, RAPIT według ustalonych rozkładów.
Autobusy zostaną wyposażone w specjalne oznaczenia trasy przejazdu. Na przystankach autobusowych przeznaczonych dla tras specjalnych zostaną umieszczone informacje oraz rozkłady jazdy.
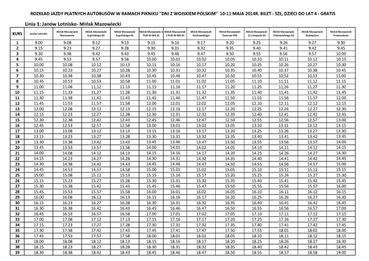
Bilet - 5zł/os. w jedną stronę; dzieci do lat 4 - gratis.
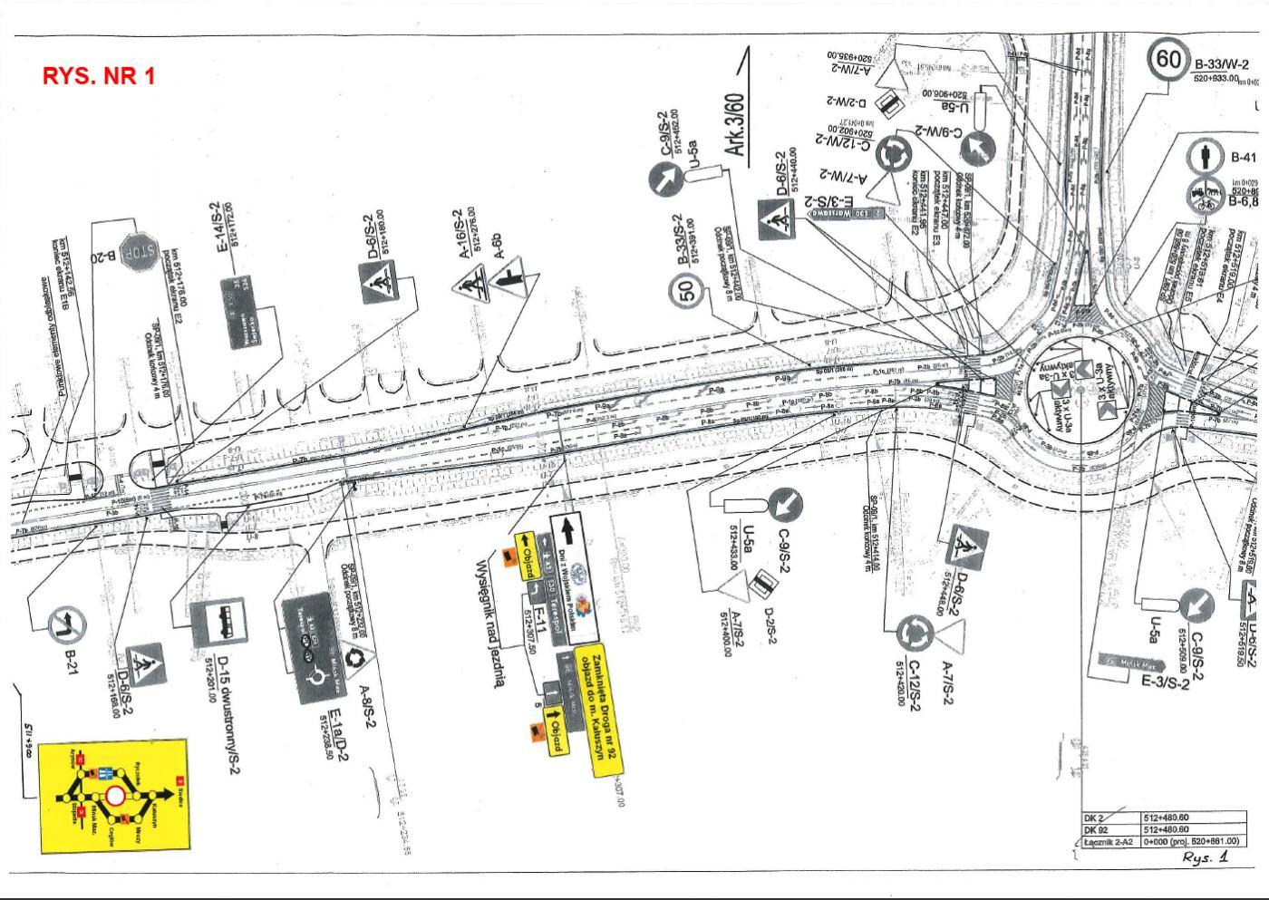
Linia Nr 1 - trasa Mińsk Mazowiecki ul. Przemysłowa - lotnisko - Mińsk Mazowiecki ul. Przemysłowa (kolor czerwony i niebieski)
Linia Nr 2 - trasa parking Pełczanka-lotnisko-parking Pełczanka.

W załączeniu mapa przejazdu oraz rozkład jazdy autobusów (2 linie).

Wykaz parkingów na terenie miasta Mińsk Mazowiecki:
1) Szkoła Podstawowa Nr 6 im. Henryka Sienkiewicza – ul. gen. K. Sosnkowskiego 1
2) Park&Ride – dojazd od ul. Z. Mirosza
3) Plac Dworcowy
4) parking płatny naprzeciwko Starostwa Powiatowego – ul. T. Kościuszki
5) Zespół Szkół Nr 1 im. Kazimierza Wielkiego – ul. Budowlana 4
6) plac na tyłach cmentarza komunalnego – dojazd od ul. Przemysłowej

 

"Koleje Mazowieckie-KM" Sp. z o.o. specjalnie na Dni z Wojskiem Polskim wprowadzają dogodne dla podróżnych zmiany do rozkłady jazdy pociągów na odcinku Warszawa – Mińsk Mazowiecki w dniach 10 i 11 maja 2014 roku.

W zwiększonym zestawieniu pojadą:
Pociąg 19851 relacji Warszawa Zachodnia (8.24) – Mińsk Mazowiecki (9:19) – Siedlce (2 EZT ER 75).
Pociąg 19853 relacji Warszawa Zachodnia (9.24) – Mińsk Mazowiecki (10.18) – Siedlce (2 ER 75).
Pociąg 19855 relacji Warszawa Zachodnia (10.24) – Mińsk Mazowiecki (11.19) – Siedlce (4 wagony piętrowe).
Pociąg 91862 relacji Siedlce – Mińsk Mazowiecki (15:15) – Warszawa Zachodnia (16.07) (2 ER 75).
Pociąg 91864 relacji Siedlce – Mińsk Mazowiecki (16:15) – Warszawa Zachodnia (17.08) (2 ER 75).
Pociąg 91816 relacji Mińsk Mazowiecki (16:43) – Warszawa Zachodnia (17:37) (2 EN 57 AKM).
Pociąg 91866 relacji Siedlce – Mińsk Mazowiecki (17:13) – Warszawa Zachodnia (18.08) (4 wagony piętrowe).

Dodatkowo zostaną uruchomione:
Pociąg 98815 relacji Warszawa Zachodnia (8.54) – Mińsk Mazowiecki (9:51) (2 EN 57 AKM).
Pociąg 98462 relacji Mińsk Mazowiecki (15:42) – Warszawa Zachodnia (16.37) (EN 57 AKM).
Szczegółowy rozkład jazdy pociągów jest dostępny na stronie internetowej www.mazowieckie.com.pl


Zachęcamy do skorzystania z komunikacji autobusowej i dogodnych połączeń przygotowanych przez lokalnych przewoźników we współpracy ze służbami miejskimi Podkreślamy jednocześnie, że liczba miejsc parkingowych przygotowanych w okolicach lotniska w Janowie jest ograniczona i nie gwarantuje pomieszczenia wszystkich samochodów osobowych, którymi przybędziecie Państwo na piknik.



Ograniczenie ruchu na DK92 (ul. Warszawska) w związku z obchodami Dni z Wojskiem Polskim w dniach 10-11 maja 2014 roku.

Informujemy, że w związku z obchodami Dni z Wojskiem Polskim w dniach 10-11 maja 2014 roku, które odbędą się na terenie lotniska  23. Bazy Lotnictwa Taktycznego w Janowie  i na terenie  miasta Mińsk Mazowiecki wprowadza się ograniczenia w ruchu na drodze krajowej nr 92 (ul. Warszawska) na odcinku od skrzyżowania z ulicą Mickiewicza w Mińsku Mazowieckim do węzła „Ryczołek” na skrzyżowaniu autostrady A2 z drogą krajową nr 92.

Ograniczenie obowiązuje w dniach 10-11 maja 2014 roku w godzinach 6.00-20.00. 

Na drodze krajowej nr 92 (ul. Warszawska),  na odcinku  od skrzyżowania z  ul.  Dąbrówki w  Mińsku Mazowieckim w km 518+585, do skrzyżowania drogi krajowej nr 2 z drogą powiatową (ul. Wojska Polskiego) w Kałuszynie w   km  535+407,  wprowadzone  zostaje ograniczenie   ruchu  ciężarowego i osobowego z wyłączeniem pojazdów służących obsłudze uroczystości, gości oraz ruchu lokalnego.

W związku z tym wyznacza się objazdy dla pojazdów samochodowych i kieruje się ruch na wyznaczone objazdy.

Przewidziano dwie trasy objazdów w zależności od rodzaju pojazdów.

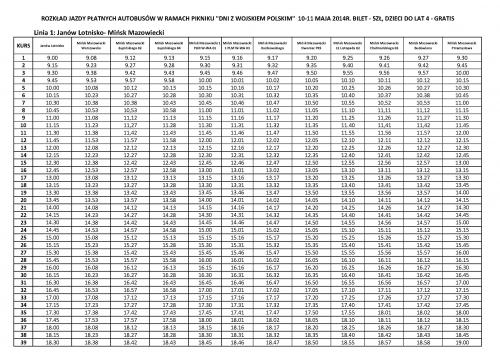
  1. Pojazdy osobowe i pojazdy o DMC powyżej 3,5t posiadające system płatności elektronicznej ViaToll kierowane będą na autostradę A-2 (rys. nr 1) od zjazdu w Choszczówce i prowadzone zgodnie z istniejącym systemem oznakowania docelowego.
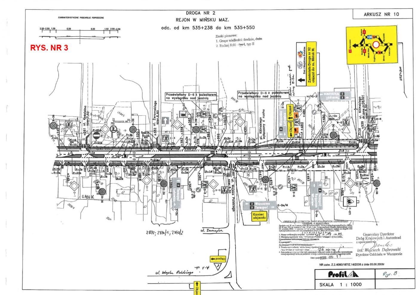
  2. Dla pojazdów o DMC powyżej 3,5t nie posiadających systemu płatności elektronicznej ViaToll zakłada się poprowadzenie objazdu drogami powiatowymi oraz miejskimi w Mińsku Mazowieckim oraz Kałuszynie. Objazd prowadzony będzie dla kierunków: Mińsk Mazowiecki - Kałuszyn oraz Kałuszyn - Mińsk Mazowiecki (rys. nr 2 i 3). 
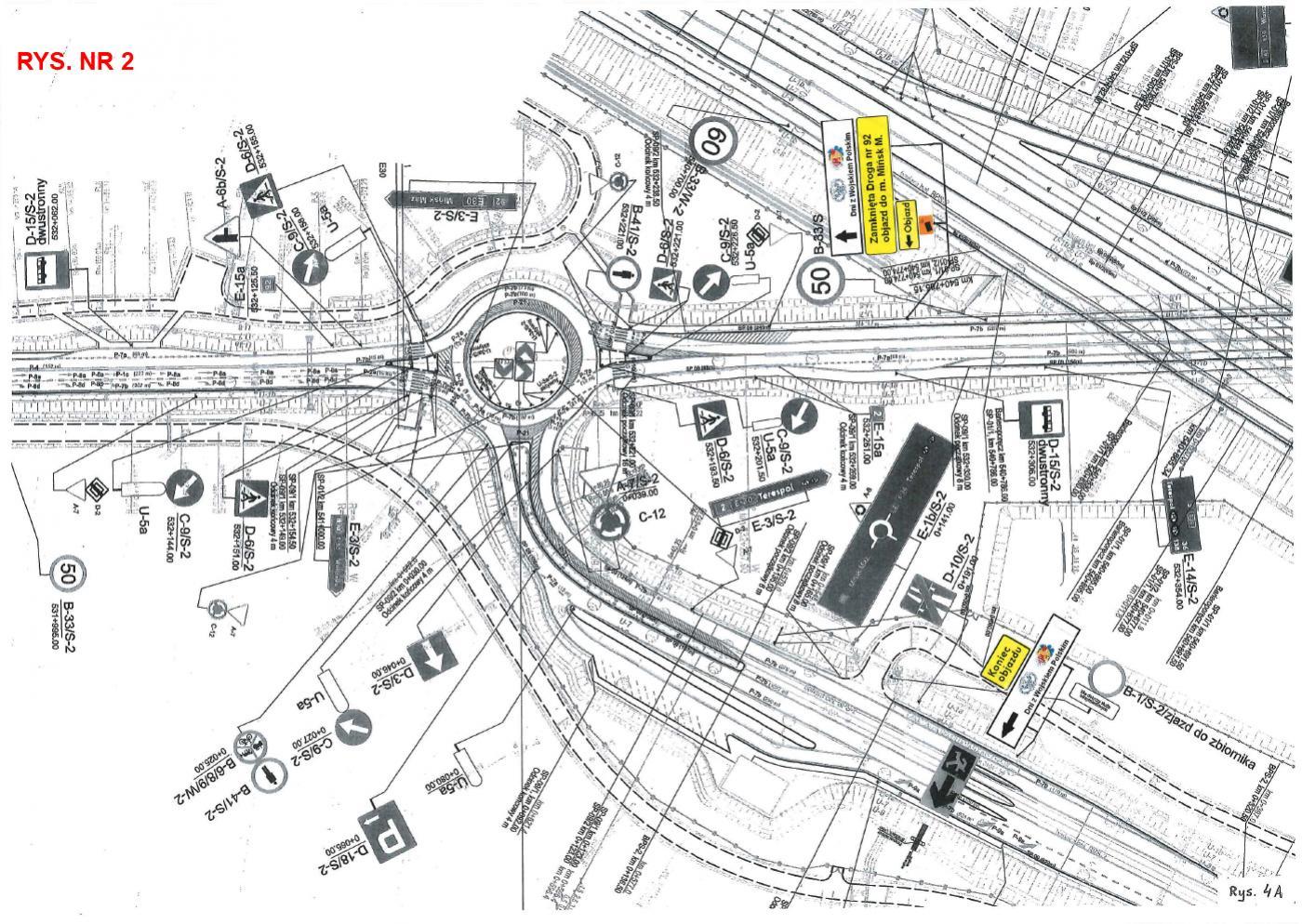
  3. objazd    w    kierunku    Kałuszyna   prowadzony będzie od miasta Mińsk Mazowiecki ul. Dąbrówki, następnie drogą powiatową nr 2230W do miasta Mrozy. Na skrzyżowaniu ul. Polnej i Armii Krajowej w Mrozach ruch skierowany zostanie na drogę powiatową nr 2231W, a następnie ul. Wojska Polskiego w Kałuszynie i doprowadzony do skrzyżowania z drogą krajową nr 92. 
  4. objazd w stronę Mińska Mazowieckiego odbywać się będzie tą samą trasą za wyjątkiem zmiany  w  mieście  Mrozy,  gdzie  ruch  skierowany  zostanie  z  drogi  powiatowej  nr 2231W ul. Kilińskiego w ul. Mickiewicza - drogę  powiatową nr 2230W i również w samym Mińsku Mazowieckim, gdzie ruch z ul. Dąbrówki skierowany będzie w ul. Mickiewicza i doprowadzony do skierowania z droga krajową nr 92. 
  • Plan Sytuacyjny - JANÓW
    Plan Sytuacyjny - JANÓW
  • Organizacja ruchu
    Organizacja ruchu
  • Mapka dojazdowa
    Mapka dojazdowa
  • Mapka linii autobusowych
    Mapka linii autobusowych
  • Rozkład jazdy - Mińsk Mazowiecki - Janów Lotnisko
    Rozkład jazdy - Mińsk Mazowiecki - Janów Lotnisko
  • Rozkład jazdy - Janów Lotnisko - Mińsk Mazowiecki
    Rozkład jazdy - Janów Lotnisko - Mińsk Mazowiecki
  • Rozkład jazdy - Pełczanka -  Janów Lotnisko
    Rozkład jazdy - Pełczanka - Janów Lotnisko
  • Rozkład jazdy - Janów Lotnisko - Pełczanka
    Rozkład jazdy - Janów Lotnisko - Pełczanka
  • Ograniczenie ruchu i objazdy
    Ograniczenie ruchu i objazdy
  • Rys.1 Węzeł Choszczówka
    Rys.1 Węzeł Choszczówka
  • Rys.2 Węzeł Ryczołek
    Rys.2 Węzeł Ryczołek
  • Rys.3 Kałuszyn
    Rys.3 Kałuszyn

Wstecz

Kalendarium

«marzec 2021»
PnWtŚrCzwPtSobNd
1234567
891011121314
15161718192021
22232425262728
293031

Najbliższe wydarzenia:

Brak wydarzeń w wybranym okresie

Reklama

  • Dyżury aptek
  • Wirtualny spacer
  • INWESTYCJE
  • baner reklamowy
  • MIM
  • FUNDUSZE ZEWNĘTRZNE
  • MIASTA PARTNERSKIE
  • OFERTY PRACY
  • GALERIA
  • CERTYFIKATY
  • ANKIETY
  • PLAN MIASTA
  • Punkty teleadresowe
  • E_PUŁAP
  • Karta Dużej Rodziny
  • Rodzinny Mińsk
  • Żołnierze Wyklęci

Rotator zdjęć

  • Gmina Mińsk Mazowiecki
  • MKS MAZOVIA
    MKS MAZOVIA

Dane teleadresowe

Urząd Miasta Mińsk Mazowiecki
ul. Konstytucji 3 Maja 1
05-300 Mińsk Mazowiecki
tel. +48 25 759 53 00, 759 53 11
fax +48 25 758 40 25
e-mail: boi@umminskmaz.pl

Licznik

Licznik odwiedzin 3026265